REvista ciencia e interculturalidad ISSN 1997-9231 (Print). ISSN 2223-6260 (Online).

Año 12, Vol. 24, No. 1, Enero.-Junio. 2019. DOI: https://doi.org/10.5377/rci.v24i01.8014

Brecha digital y desarrollo regional. Estudio de caso para la zona Maya de Quintana Roo, México

Digital gap and regional development. Case of study for the Mayan Zone, Quintana Roo, Mexico

Ramón Eduardo Pérez García1

Oscar Iván Reyes Maya2

Miguel Ángel Barrera Rojas3

Dorian Alejandro Uc Vega4

Resumen

El propósito de esta investigación fue estudiar la situación de la infraestructura tecnológica que permite las telecomunicaciones y en específico el caso de la conectividad a Internet que tiene el municipio de José María Morelos, en el Estado de Quintana Roo, y que forma parte de la Zona Maya, en el cual, como cualquier otro municipio, sus necesidades tecnológicas aumentan día en día generando un cuello de botella para las diversas empresas e instituciones que requieren de una conectividad estable y confiable. A pesar de que Quintana Roo es uno de los Estados más prósperos de la república mexicana, dicho desarrollo no ha sido equitativo en todo su territorio, sino que se ha creado un enclave desarrollista en la llamada “Riviera Maya”, cuya estructura productiva está totalmente enfocada a los servicios y la hotelería de alta gama. Por el contrario, la Zona Maya, ha sido históricamente un lugar geográfico segregado del desarrollo económico y social, en donde su estructura económica, refleja organizaciones productivas atrasadas. En este sentido, se evidencia que la falta de infraestructura que permita la conectividad a Internet juega un papel fundamental, puesto que de este modo de comunicación depende no sólo en el intercambio de ideas en las redes sociales, sino hasta la decisión de implementar nuevos negocios que puedan tener una terminal de cobro electrónico, sus propias páginas web, facturación electrónica, etc.

Palabras clave: brecha digital; zona maya; telecomunicaciones; desigualdad; desarrollo regional.

Abstract

The purpose of this investigation was to study the situation of the technological infrastructure that allows telecommunications and specifically the case of Internet connectivity that José María Morelos municipality has in Quintana Roo State, and that is part of the Mayan Zone, in which, like any other municipality, its technological needs increase day by day generating a bottleneck for the various companies and institutions that require stable and reliable connectivity. Although Quintana Roo is one of the most prosperous states of the Mexican Republic, this development has not been equitable throughout its territory, but a developmental enclave has been created in the so-called “Riviera Maya”, whose productive structure is totally focused on high-end services and hotels. On the contrary, the Mayan Zone has historically been a geographic segregated place of economic and social development, where its economic structure reflects backward productive organizations. In this sense, it is evident that the lack of infrastructure that allows Internet connectivity plays a fundamental role, since in this way communication depends not only on the exchange of ideas in social networks, but even the decision to implement new business that they may have an electronic collection terminal, their own web pages, electronic invoicing, etc.

Keywords: Digital gap, Mayan zone, telecommunications, inequality, regional development.

I. Introducción

El acceso a las Tecnologías de la Información y Comunicación (TIC) ha dejado de ser un privilegio de las altas esferas científicas, gubernamentales, académicas o económicas. Incluso se entiende lo fundamental de democratizar el acceso a dichas tecnologías al estipularse en el artículo 27 de la Declaración Universal de Derechos Humanos que “Toda persona tiene derecho a tomar parte libremente en la vida cultural de la comunidad, a gozar de las artes y a participar en el progreso científico y en los beneficios que de él resulten” (Organización de las Naciones Unidas, 2008). En este sentido, lo que se busca en términos planetarios es la creación de “una sociedad del conocimiento ha de poder integrar a cada uno de sus miembros y promover nuevas formas de solidaridad con las generaciones presentes y venideras.”(UNESCO, 2005:23), de tal modo que no excluya a los sectores menos favorecidos de la sociedad. La propia Comisión Económica para América Latina y el Caribe en el informe titulado “los caminos hacia una Sociedad de la información en América Latina y el Caribe” sostiene que la información a través de las TICS son un paradigma emergente en el nuevo milenio y que de ellas dependerá la desigualdad en los procesos de construcción del desarrollo regional y local (CEPAL, 2003). De hecho, como plantea Silvera (2005; 4), “Los crecientes flujos de información y comunicación en la sociedad, así como el surgimiento de nuevas formas de coordinación digitalizadas, se traducen en nuevas formas de organización social y productiva”, es decir, inciden directamente en el nivel de desarrollo regional, visto este como las condiciones de calidad de vida que inciden en el bienestar económico, social y productivo de una región.

A pesar que no queda duda de la importancia de la universalidad del acceso a las tecnologías de la información, es claro que el desarrollo de las sociedades no es igualitario, por tanto, dicho desarrollo desigual ha creado una brecha digital, que contempla:

aspectos de acceso, pero también en los relacionados con el uso de las TIC. Se proponen tres tipos de brecha digital: la de acceso, basada en la diferencia entre las personas que pueden acceder y las que no a las TIC; la de uso, basada en las personas que saben utilizarlas y las que no; y las de la calidad del uso, basada en las diferencias entre los mismos usuarios (ITU, 2003:s/p).

La sociedad actual está marcada por el avance tecnológico, cuya influencia se deja sentir no sólo en las relaciones de producción y la productividad con que se emplean; sino que cada vez más, la tecnología influye en los ámbitos sociales y culturales de las comunidades en su conjunto. Por tanto, en esta sociedad globalizada el no tener acceso a las tecnologías de la información, es sinónimo de estar marginado de ciertas actividades productivas, medios de información y métodos de comunicación vitales para el desarrollo a escala global (Tello, 2007; Guasch y Ugas, 2007; Teneda, Oyaque y Jiménez, 2018).

En el ámbito nacional, el gobierno mexicano hace mucho hincapié en la creación de infraestructura y la ampliación de la cobertura de las telecomunicaciones. Lo anterior está de manifiesto en el Plan Nacional de Desarrollo cuyo objetivo 4.5 es “Democratizar el acceso a los servicios de telecomunicaciones, mediante la estrategia de impulsar el desarrollo e innovación tecnológica de las telecomunicaciones que amplié la cobertura y accesibilidad para impulsar mejores servicios” (Presidencia de la República, 2013;136). Esto establece la relevancia en términos de la agenda nacional que tiene la reducción de la brecha digital a escala mundial, regional y local.

La democratización del acceso a servicios de telecomunicación debería ser un piso común que coadyuve a la reducción de desigualdades, es decir, debería ser un objetivo primario el beneficiar a comunidades como las que comprende la Zona Maya, del estado de Quintana Roo, mismas que no cuentan con infraestructura que de soporte a las necesidades básicas en cuanto al uso de equipos de cómputo, telefonía celular y conectividad a internet, situación que hace que las empresas no vean al municipio como un punto de interés comercial, no se generen nuevos empleos y por tanto los jóvenes tengan que emigrar del municipio por falta de oportunidades.

la óptima implementación de las TIC en todos los ámbitos, es un requerimiento indispensable para participar en una sociedad globalizada cada vez más dependiente de la tecnología. Las TIC son un elemento fundamental en la sociedad de la información, por consiguiente, aquellas comunidades que impulsen el desarrollo de su infraestructura, y la adecuada preparación para utilizarlas eficientemente, tendrán una mayor capacidad de decisión e influirán en la construcción de la sociedad del conocimiento (Tello; 2007,48).

Esta falta de infraestructura para las telecomunicaciones en la Zona Maya, y muy en específico en la cabecera municipal de José María Morelos, no es un elemento único que explique el atraso en términos del desarrollo. Pues hay que considerar también el notable rezago que se tiene en materia de producción e infraestructura industrial, agrícola, ganadera y turística. Dicho rezago ha provocado que la desigualdad en el desarrollo, en los ingresos, y en el acceso a telecomunicaciones se haya vuelto abismal respecto a los principales polos de la región: Cancún, Cozumel y Playa del Carmen.

En este sentido, se propone como localidad de estudio a José María Morelos, que es la cabecera del municipio con el mismo nombre. Esta comunidad sujeta de estudio se ha visto atrapada por una doble trampa que impide el desarrollo tecnológico: Por un lado, si bien a finales de la década de 1990 se hizo una importante inversión en infraestructura para telecomunicaciones, también es cierto que la llegada de la Universidad Intercultural Maya de Quintana Roo a la zona ha provocado migración interna a la localidad de estudio por parte de actores provenientes de comunidades cercanas. Esto ha excedido por mucho la capacidad instalada de telecomunicaciones, generando saturación de la red telefónica. Y, por otra parte, dicha infraestructura no ha podido aumentarse debido a problemas con grupos de ejidatarios que se niegan a que el cableado de fibra óptica atraviese sus parcelas. A dieciocho años de iniciado el conflicto, éste aún continúa y ha provocado que, ante la inminente demanda de Internet, telefonía fija y móvil, así como otros medios de telecomunicación la capacidad instalada esté plenamente rebasada lo que ocasiona problemas de oferta de servicios en ámbitos como gobierno local, académico medio y superior, bancario, y telecomunicaciones.

Gran parte de la desigualdad en el acceso a servicio de telecomunicaciones está explicada por la imposibilidad de tener telefonía fija e Internet en casa, ya que actualmente solamente existe un punto de acceso público y está ubicado en el parque principal "José María Morelos", el escaso ancho de banda y la demanda de Internet que no deja de crecer ha ocasionado que no haya interés para hacer uso de este servicio, limitando con esto a sus usuarios, que en su mayoría son estudiantes. Y, aunque el gobierno municipal ha hecho lo necesario para mejorar el servicio, la pobre infraestructura con la que actualmente brinda el proveedor de servicio de Internet limita a todos por igual. Si bien, el Internet permite la comunicación a nivel global también ayuda como “tecno-estructura cultural comunicativa, que permite la re significación de las experiencias, del conocimiento y de las prácticas de interacción humana” (Cabrera, 2004).

Así, este trabajo tiene por objetivo analizar las condiciones de brecha digital que tiene la comunidad de José María Morelos de la Zona Maya de Quintana Roo en México.

II. Revisión de literatura

Autores como Teneda, Oyaque y Jiménez (2018) mencionan que es indudable que en la actualidad los fenómenos sociales, culturales, económicos y políticos deben ser abordados entendiendo que nos desenvolvemos en una sociedad digital (en su mayoría). Esto se debe a que gran parte de las relaciones que se establecen al interior de la sociedad están determinados por un contexto media y digital, donde la apropiación de las TICS, su uso, manejo y comprensión determinan en mucho la capacidad de interacción, de aprovechamiento de recursos y de generación de desarrollo. Así pues, surge en el siglo pasado la primera discusión sobre que deben asumirse dos tipos de poseedores de cocimiento codificado: alfabetos y alfabetos digitales.

la alfabetización digital tiene que ver aspectos tales como el uso de las tecnologías de la información y las comunicaciones desde una concepción holística. El conocer dentro de la alfabetización digital dimensiones tales como: instrumental, cognitiva, comunicativa, axiológica, emocional es un aporte para poder evidenciar el impacto que su comportamiento tiene con la sociedad. (Teneda, Oyaque y Jiménez; 2018. 2)

El grado de alfabetización digital determina casi en su totalidad la brecha digital existente. La brecha digital es definida por autores como López, Martínez y Valencia (2018); Teneda, Oyaque y Jiménez (2018: 5) y Vázquez (2014) como:

el espacio existente entre las tecnologías de información y aparatos tecnológicos a nivel geográfico, social, económico, cultural, religioso, género, etc. La brecha digital está considerada básicamente como una desigualdad de ingresos, a causa que el acceso a internet está dado por un pago mensual, a lo que la mayor parte de las familias consideradas como pobres no poseen un acceso a este; esto se evidencia en zonas geográficas, es decir, la población que vive en zonas rurales no tendrá acceso a este en su mayoría. Este está considerado un subdesarrollo rural.

Otros autores como Villanueva (2006: 2) reconocen que la brecha digital como concepto en los albores del año 2000 causó revuelo por lo innovador que resultaba repensar a la sociedad en función de sus capacidades digitales, es decir:

la brecha digital aparece como una de las cuestiones más críticas para el desarrollo de la así llamada sociedad de la información. Se propone a la brecha digital como una carencia crítica ante las necesidades de desarrollo económico y social, y por lo tanto como una de las principales razones para que los países en vías de desarrollo inviertan en tecnologías de información y comunicación y en la Internet; esto, debido a que se trata de una de las principales rutas para promover oportunidades digitales, y para participar / promover / desarrollar la ya mencionada sociedad de la información […]

Sin embargo, el propio autor reconoce que hay que andar con cuidado, puesto que se debe tomar a la brecha digital como un término y no como un concepto. Otros autores como Alva (2015: 265) definen a la brecha digital como “una nueva expresión de la desigualdad, en términos de las inequidades sociales en materia de acceso, uso y apropiación de las Tecnologías de la Información y la Comunicación (TIC)” además de ser la nueva desigualdad, o como ella le llama, la desigualdad del siglo XII. Sobre ello, explica que “Al conjunto de desigualdades acumuladas a lo largo del tiempo hoy se suma una más, aquella que conlleva la marginación de amplios sectores sociales del acceso, uso y apropiación de los bienes y servicios de las telecomunicaciones y las TIC que le permiten o no participar en el desarrollo de la nueva sociedad que se construye. Esa nueva desigualdad la constituye la brecha digital” (Alva, 2015: 274). Es así que desde las perspectivas revisadas se abordará el fenómeno de la brecha digital en la zona de estudio.

III. Metodología

Para poder analizar a brecha digital se realizó trabajo de campo en la comunidad José María Morelos, Quintana Roo, México. La recogida de información en campo de las variables que hacen posible el cálculo de la brecha digital, se hizo en base a la aplicación del cuestionario “Utilización de tecnologías de la Información en la Zona Maya de Quintana Roo” (Anexo I) que replica y adapta la Encuesta Nacional sobre Disponibilidad y Uso de Tecnologías de la Información en los Hogares (ENDUTIH), que pertenece al Módulo sobre Disponibilidad y Uso de Tecnologías de la Información en los Hogares (MODUTIH) que recaba cada dos años INEGI a nivel nacional de manera anual desde el 2001 y cuya representatividad es nacional.

Los datos en campo se recabaron en el mes de enero del 2016; sin embargo, dicha información hace referencia las condiciones de los hogares en el período enero 2015-diciembre 2015. La unidad de análisis fue hogares, puesto que los resultados de la presente investigación, se pueden hacer comparables con las encuestas antes mencionadas y por tanto, el análisis a nivel localidad puede tener como referencia los datos nacionales.

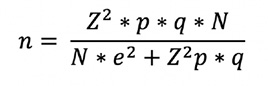
Para la presente investigación se consideró cálculo con una muestra de 22 hogares de manera aleatoria simple, siguiendo el muestreo propuesto por la ENRUHM para comunidades rurales como la sujeta de estudio. Dicha encuesta comprende las variables contenidas en la Encuesta Nacional sobre la Disponibilidad y Uso de Tecnologías de la Información en los Hogares (ENDUTIH) con ajustes a la región sujeta de estudio por parte de los investigadores (Véase, Anexo). Para la aplicación del instrumento se contó con la ayuda de estudiantes bilingües quienes tradujeron del español al maya y viceversa.

Dónde:

N= 2, 826 hogares.

Z= 1.28

p=0.8

q=0.2

e=0.1

La distribución geográfica de los hogares se llevó a cabo siguiendo un patrón de distribución de cuadrantes de la comunidad sujeta de estudio (Véase, Mapa 1), cuidando que la selección de los hogares sea aleatoria y sin remplazo. Cabe resaltar que para poder operar de modo eficiente y la variabilidad positiva de respuesta sea tan alta en nuestra muestra, solicitamos la ayuda de estudiantes bilingües cuyo dominio de la lengua maya facilitó la recepción de los pobladores para con nuestro estudio.

Mapa No. 1. Distribución de cuadrantes para aplicar las encuestas de la Comunidad de José María Morelos, Quintana Roo.

Fuente: Mapa Originado en Google Maps y modificaciones propias.

IV. Resultados

Se encuestaron un total de 22 hogares, que comprenden un total de 101 habitantes, cuya edad promedio es 27 años, siendo el 51% de ellos hombres y el 49% mujeres, cuya escolaridad en promedio es 10 años (secundaria concluida y bachillerado trunco). Dentro de las personas encuestadas es de resaltar que las 3 ocupaciones más numerosas son estudiante, servicios y salariado con 34%, 31% y 19% respectivamente (Véase, Gráfica 1).

Gráfica No. 1. Principales ocupaciones de la población encuestada en José María Morelos, Quintana Roo, 2015.

Fuente: Elaboración propia con datos de las encuestas.

A partí de dichos datos, podemos afirmar que la población de "José María Morelos" es mayoritariamente joven y aunque no tiene un alto nivel de escolaridad, si tiene una enorme cantidad de estudiantes. Por tanto, en su conjunto se infiere que es una población altamente demandante de tecnologías de la información, no sólo para la comunicación y el ocio, sino para sus quehaceres cotidianos y práctica profesional.

En términos del equipamiento que tienen los hogares de la comunidad sujeta de estudio respecto al ámbito nacional y estatal, podemos afirmar que si bien en algunos indicadores como hogares con luz eléctrica y hogares con telefonía celular "Jose Maria Morelos" se encuentra muy por encima de los referentes mencionados, en términos de los hogares con computadora y los que tienen acceso a Internet, la diferencia es muy amplia y hace evidente la enorme deficiencia que tienen los hogares en términos del acceso a las tecnologías de la información (Véase, Tabla 1).

Tabla No. 1: Equipamiento tecnológico de los hogares a nivel comunidad, Estatal y Nacional, 2015.

Fuente: Elaboración propia con datos del trabajo de campo e INEGI 2015.

Dentro de las principales razones de por qué las personas no cuentan con computadora o internet, destaca la falta de recursos económicos, razón que es una constante en términos nacionales y estatales. Sin embargo, al analizar sobre el principal medio de conexión a internet, destaca que, en la comunidad sujeta de estudio, el principal medio de conectividad es mediante el uso de la red de telefonía móvil. En lo que respecta a los lugares de conexión, en "José María Morelos" el principal sitio es los lugares públicos, mientras que a nivel estatal y nacional es el hogar (Véase, Tabla 2).

Tabla No. 2: Razones por las cuales los hogares no tienen acceso a internet o computadora, a nivel comunidad de estudio, Estatal y Nacional, 2015.

Fuente: Elaboración propia con datos del trabajo de campo e INEGI 2015ab.

V. Conclusiones

A Pesar de que Quintana Roo es uno de los estados más prósperos de la república mexicana, dicho desarrollo no ha sido equitativo en todo su territorio, sino que se ha creado un enclave desarrollista en la llamada “Riviera Maya”, cuya estructura productiva está totalmente enfocada a los servicios y lahotelería de alta gama. Por el contrario, la Zona Maya, ha sido históricamente un lugar geográfico segregado del desarrollo económico y social, en donde su estructura económica, refleja organizaciones productivas atrasadas. En este sentido, la falta de infraestructura que permita la conectividad a Internet juega un papel fundamental, puesto que de este modo de comunicación depende no sólo en intercambio de ideas en las redes sociales, sino hasta la decisión de implementar nuevos negocios que puedan tener una terminal de cobro electrónico, sus propias páginas web, facturación electrónica, etc.

En suma, se aprecian dos fenómenos que contribuyen a la anacrónica infraestructura tecnológica en la Zona Maya. En primera instancia la falta de disponibilidad física de líneas telefónicas se remonta a disputas entre los pobladores y la compañía Telmex, situación que lejos de remediarse, con el tiempo sólo se ha incrementado relativamente al comprarse las líneas disponibles versus el crecimiento poblacional que se ha experimentado el municipio en los últimos 10 años. El otro fenómeno que ejerce presión sobre el atraso tecnológico en la región, es la poca diversificación económica y productiva que se tiene, así como un empobrecimiento generalizado de los primeros deciles de hogares cuyo ingreso no les permite cubrir sus necesidades básicas, y por tanto menos sus necesidades tecnológicas potenciales.

Si bien es cierto que la población ha buscado métodos alternativos de conexión a Internet que la convencional instalación de red de wifi en los hogares mediante la contratación de líneas telefónicas, como por ejemplo la conexión mediante la red de telefonía móvil. Tan bien es cierto que dicho tipo de conexión no es suficiente para poder realizar las tareas cotidianas que realizan los estudiantes, los empleados y las empresas. Por tanto, se hace evidente la necesidad de la ampliación de una infraestructura en tecnologías de la información que sea incluyente y no sean sólo buenas intenciones como las contenidas en la Declaración de los Derechos Humanos o el Plan Nacional de Desarrollo.

Agradecimiento

Esta publicación obtuvo el financiamiento de: El Fondo de Asistencia Internacional de los Estudiantes y Académicos Noruegos, (SAIH).

VI. Lista de referencias

Alva, A. (2015). Los nuevos rostros de la desigualdad en el siglo XXI: la brecha digital. Revista Mexicana de Ciencias Políticas y Sociales, LX (223). 265-286

Cabrera, José (2004). Navigators and castaways in cyberspace: psychosocial experience and cultural practices in school children’s appropriation of the Internet”, en Bonilla, G. (eds.). Internet and Society in Latin America and the Caribbean (pág. 21-86). Consultado electrónicamente el 10/4/2016 y disponible en: http://www.idrc.ca/en/ev-84512-201-1-DO_TOPIC.html

Comisión Económica para América Latina y el Caribe (2003). Los caminos hacia una sociedad de la información en América Latina y el Caribe, CEPAL, Santiago de Chile, consultado electrónicamente el 20/01/2016 y disponible en: < http://www.cepal.org/es/publicaciones/2354-los-caminos-hacia-una-sociedad-de-la-informacion-en-america-latina-y-el-caribe>.

Guasch, J. C., & Ugas, L. (2007). The digital gap in Maracaibo city in Venezuela. Telematics and Informatics, 24(1), 41-47.

Instituto Nacional de Estadística Geografía e Informática (2015). Encuesta Nacional sobre Disponibilidad y Uso de Tecnologías de la Información en los Hogares (ENDUTIH) 2015, INEGI, México, consultado electrónicamente el 03/02/2016 y disponible electrónicamente en: http://www.inegi.org.mx/est/contenidos/proyectos/encuestas/hogares/regulares/dutih/2015/default.aspx

López, A.; Martínez, N. y Valencia, O. (2018). TICS y desarrollo. Una aproximación al Estado de Oaxaca mediante el enfoque de Macro regiones. Revista de Estudios Interculturales, Núm. Especial, disponible en http://www.estudiosinterculturales.com/resumen.php?id=38

Organización de las Naciones Unidas (2008). Declaración Universal de los Derechos Humanos. consultado electrónicamente el 17/04/2016 y disponible en: < http://www.un.org/es/documents/udhr/index_print.shtml>

Organización de las Naciones Unidas para la Educación, la Ciencia y la cultura (2005). Hacia las sociedades del conocimiento. UNESCO, Francia. Consultado electrónicamente el 21/03/2016, y disponible electrónicamente en: http://www.unesco.org/fileadmin/MULTIMEDIA/HQ/SC/pdf/141843s.pdf

Presidencia de la Republica (2012). Plan Nacional de Desarrollo 2013-2018. Gobierno de la República, México. consultado electrónicamente el 04/03/2016 y disponible electrónicamente en: http://pnd.gob.mx/

Silvera, C. (2005). La alfabetización digital: una herramienta para alcanzar el desarrollo y la equidad en los países de América Latina y el Caribe., ACIMED, 13(1). 1-8.

Tello Leal, Edgar (2007). Las tecnologías de la información y comunicaciones (TIC) y la brecha digital: su impacto en la sociedad de México. en Universities and Knowledge Society Journal, vol. 4, núm. 2, octubre, 2007, pp. 1-8 Universitat Oberta de Catalunya, Barcelona, España, consultado electrónicamente el 20/05/2016 y disponible en: <http://www.redalyc.org/articulo.oa?id=78011231006>

Teneda, W.; Oyaque, S. y Jiménez, W. (2018). El impacto del analfabetismo digital de las mujeres en edad económicamente activa. Revista Científica Ciencia y Tecnología, Vol 1, Núm. 16, pp. 1-22.

Unión Internacional de Telecomunicaciones (2003). Digital Access Index: World’s First Global ICT Ranking. Education and Affordability Key to Boosting New Technology Adoption, ITU, Ginebra. Consultado electrónicamente el 16/05/2016 y disponible en: < https://www.itu.int/newsroom/press_releases/2003/30.html>

Vázquez, A. (2014). Incidencia de la brecha digital en grupos de iguales a partir de la interactividad entre la identidad física y la identidad digital. Macedonia: Lulu.com.

Villanueva, E. (2006). Brecha Digital: Descartando un Término Equívoco. Razón y Palabra, 11 (51)


1 Profesor Investigador en Universidad Intercultural Maya de Quintana Roo. ramon.perez@uimqroo.edu.mx https://orcid.org/0000-0002-6926-1319

2 Doctorante en Ciencias Sociales por la Universidad Autónoma Metropolitana-Xochimilco. oscaruach@gmail.com https://orcid.org/0000-0002-5381-883x

3 Profesor Investigador en la Universidad de Quintana Roo. miguel.barrera@uqroo.edu.mx https://orcid.org/0000-0002-9240-7646 (autor de correspondencia)

4 Profesor Investigador y Coordinador del Programa Educativo de Ingeniería en Tecnologías de la Información y Comunicación en Universidad Intercultural Maya de Quintana Roo. Dorian.uc@uimqroo.edu.mx https://orcid.org/0000-0001-6851-8066

Recibido: 18/03/2019 Aprobado: 10/06/2019

Pérez Garcia, R., Reyes Maya, O., Barreras Rojas, M., & Uc Vega, D. (2019). Brecha digital y desarrollo regional. Estudio de caso para la zona Maya de Quintana Roo, México. Ciencia E Interculturalidad, 24(01), 190-201. https://doi.org/10.5377/rci.v24i01.8014

Copyright © (URACCAN). Todos los derechos reservados.